思春期における大麻使用は、記憶力や注意力、思考能力といった認知機能の発達を遅らせる可能性があることが、11,000人以上を対象とした大規模縦断研究により明らかになりました。
特に、最新のNeuropsychopharmacology誌の研究では、大麻使用開始後に認知機能の「成長曲線が平坦化する(伸びが鈍化する)」という特徴的なパターンが確認されており、THC(精神作用成分)が主要な要因である可能性も示唆されています。
ただし、これらはあくまで関連性の解析であり、因果関係については完全には確定していません。
以下に研究の内容をまとめます。
参考記事)
・Study of 11,000 US Teens Links Cannabis Use to Slower Brain Development(2026/04/22)
参考研究)
研究の概要

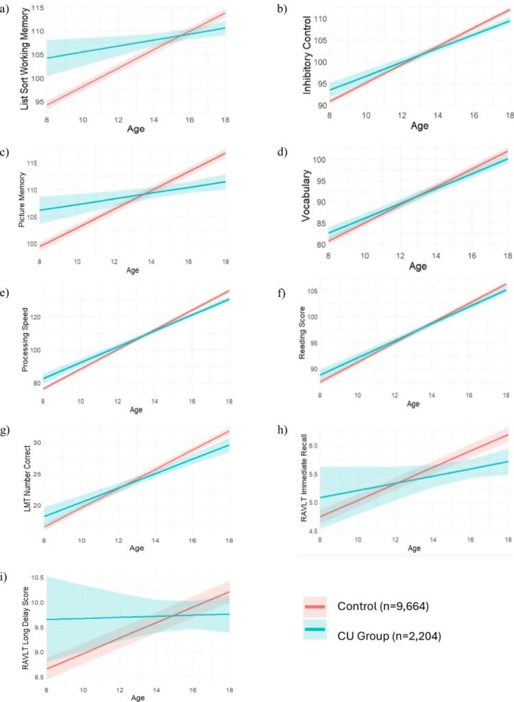
本研究は、「Adolescent Brain Cognitive Development Study(ABCD Study)」と呼ばれる米国最大規模の発達研究を参考に、9歳から17歳までの11,036人を長期間追跡したものです。
特に本研究の重要な特徴は、以下の2点にあります。
・自己申告だけでなく、生体検査(毛髪・尿・唾液など)を併用
・長期的な「変化(trajectory)」を解析
ここでいう「trajectory(トラジェクトリー)」とは、時間の経過に伴う変化のパターン(発達の軌跡)を指す概念です
今回の研究で特に重要なのは、単なる「差」ではなく、発達の軌道そのものの変化が示された点です。
研究によると、大麻使用者は、使用前にはむしろ認知機能が高い傾向があった一方、使用開始後は認知機能の成長が鈍化(平坦化)することが示されました。
つまり、「もともと能力が低いから使用した」のではなく、「使用後に伸びが止まるように見える」という現象が観察されています。
認知機能への具体的な影響
評価された主な認知領域は以下の通りです。
・記憶(短期・長期)
・注意力
・処理速度
・抑制制御(衝動抑制)
・視空間能力
・言語能力
・ワーキングメモリ
Longitudinal neurocognitive trajectories in a large cohort of youth who use cannabis: combining self-report and toxicologyより
これらすべてにおいて、大麻使用者は非使用者に比べて「伸び率」が低いという結果でした。
重要なのは、差そのものは小さいものの、一貫して全領域で見られたという点です。
THCとCBDの役割
研究では、大麻に含まれる主要成分の影響も検討されています。
・THC(テトラヒドロカンナビノール)
→精神作用を引き起こす成分
・CBD(カンナビジオール)
→精神作用が少ないとされる成分
結果として、
・THC曝露がある場合、特に記憶機能の低下が顕著
・CBDのみの使用者では大きな低下は見られなかった(ただしサンプル数は少ない)
このことから、観察された変化の主因はTHCである可能性が高いとされています。
ただし、CBD製品にも微量のTHCが含まれる場合があるため、完全な分離は難しく、この点には不確実性が残ります。
なぜ思春期は影響を受けやすいのか
思春期は、脳の発達において極めて重要な時期です。
この時期には、神経回路の再編成、シナプスの刈り込み(不要な神経接続の削減)、前頭前野の成熟が進行します。
このような時期に外部物質が影響すると、発達の「方向性」そのものが変わる可能性があります。
因果関係と研究の限界
本研究は非常に強力なデザインですが、因果関係は証明されていないことや未測定の要因(性格、環境など)の影響は完全には排除できないことなどの注意点があります。
研究では、家庭環境、精神状態、他の薬物使用などを統計的に調整していますが、それでもなお、「大麻が直接原因である」と断定することはできません。
研究者は、差が大きくないことも認めています。
しかし、競争的な教育環境では、この小さな差が将来に大きく影響する可能性があると述べ、試験成績、進学、職業機会、さらには視空間能力の低下は運転能力にも影響すると指摘しています。
現在、アメリカでは大麻の合法化、THC濃度の増加、リスク認識の低下が進んでいます。
つまり、同じ「大麻使用」でも、過去より強い影響を持つ可能性があります。
結論

本研究から最も重要な示唆は、思春期の大麻使用は、認知機能の発達の「速度」を低下させる可能性があることそして、その影響はTHCによって説明される可能性が高いことです。
ただし、因果関係は未確定であり、さらなる追跡研究が必要です。
本研究は、思春期という非常に重要な時期において、脳が外部要因に敏感であることを改めて示しています。
特に、現代の大麻製品は高濃度THCを含むものが多く、過去と同じ感覚でリスクを評価することはできません。
また、認知機能のわずかな低下であっても、長期的には学習能力や社会的機会に影響を及ぼす可能性があります。
そのため、若年期においては、物質使用を遅らせる、あるいは避けるという選択が、将来の脳機能を守る上で重要と考えられます。
さらに、ストレスや不安への対処として大麻に頼るのではなく、運動や睡眠、社会的サポートといったより安全な方法を活用することが、長期的な健康にとって望ましいといえるでしょう。
まとめ
・大麻使用者は、使用後に認知機能の成長が鈍化する傾向がある
・THCが主な影響因子である可能性が高い
・ただし因果関係は完全には証明されていない


コメント