電子タバコの使用が糖尿病予備群のリスクを高める可能性

科学
科学
この記事は約6分で読めます。

電子タバコ、いわゆる「ベイプ」は、従来の紙巻きタバコよりも安全な代替手段として広く普及しつつあります。

 

しかし、その健康への影響については依然として議論が続いています。

  

近年、電子タバコ使用と心臓疾患との関連性を指摘する研究が増えてきましたが、血糖値や代謝機能への影響については明確な結論が得られていません。

 

そうした中、アメリカのジョージア大学の研究チームが、電子タバコの使用が糖尿病予備群のリスクを高める可能性を明らかにした研究結果を発表しました

 

この研究は、アメリカ疾病対策予防センター(CDC)が実施した電話調査のデータを解析したもので、120万件を超える大規模なデータポイントに基づいています。

  

以下に研究の内容をまとめます。

 

参考記事)

Vaping Increases Your Risk of Prediabetes, Study Suggests(2025/09/29)

 

参考研究)

Heterogeneous Association Between E-Cigarette Use and Diabetes Prevalence Among U.S. Adults(2025/09/29)

 

 

糖尿病予備群とは何か

 

まず理解しておきたいのは「糖尿病予備群」という概念です。

  

糖尿病予備群とは、血糖値が正常値よりも高い状態であるものの、まだ二型糖尿病の診断基準には達していない段階を指します。

  

この段階では生活習慣の改善によって血糖値を正常化できる可能性がありますが、同時にすでに心臓や腎臓、神経に損傷が進んでいるケースも少なくありません。

 

従来から紙巻きタバコなどの喫煙が糖尿病発症リスクを高めることはよく知られています。

 

しかし、電子タバコの使用が血糖値や代謝機能に与える影響は、これまで明確に示されてきませんでした

 

本研究は、そんな新しいタイプの喫煙と健康リスクの関係を解き明かすべく実施されました。

 

 

電子タバコ使用と糖尿病予備群リスクの関係

研究を主導したのは、ジョージア大学の健康経済学者であるSulakshan Neupane氏です。

 

Neupane氏のチームは、CDCによる電話調査の大規模データを解析し、電子タバコ使用、紙巻きタバコ使用、あるいはその両方を併用する者と糖尿病予備群・糖尿病の関連を調べました。

 

その結果、次のような関連が示されました。

Heterogeneous Association Between E-Cigarette Use and Diabetes Prevalence Among U.S. Adultsより

   

・電子タバコのみを使用する人は、非喫煙者に比べて糖尿病予備群になるリスクが7%高い

これは、アメリカ国内で100万人の電子タバコ使用者のうち、約7,000人が糖尿病予備群となる計算です。

 

・紙巻きタバコのみを使用する人は、非喫煙者よりも15%リスクが高い

 

・電子タバコと紙巻きタバコを併用する「デュアルユーザー」は、非喫煙者に比べて28%もリスクが高い

  

さらに、糖尿病の発症リスクについても調査が行われました。

 

その結果、両方のタバコを吸う人は糖尿病のリスクが非喫煙者より9%高く、これは紙巻きタバコのみを使用する人の7%増加よりも大きいことが分かりました。

 

この結果について、Neupane氏は次のように述べています。

 

電子タバコ使用は単独でも糖尿病予備群の可能性を高めるが、紙巻きタバコとの併用はさらにリスクを高める。本研究は、両方の製品を使用することで健康被害が重層的に拡大することを示している

 

 

崩れる電子タバコの安全神話

 

電子タバコは「従来の喫煙よりも安全」という認識でマーケティングされています。

  

しかし今回の研究結果は、電子タバコが糖尿病予備群や糖尿病といった代謝性疾患のリスクを高める可能性を示しており、これまでの認識に疑問を投げかけています

 

Neupane氏は次のように警鐘を鳴らしています。

 

電子タバコが“より安全な選択肢”と宣伝される時代にあっても、その背後には見えにくいリスクが潜んでいるかもしれない。長期的には糖尿病予備群や糖尿病の増加に静かに寄与している可能性がある

 

 

リスクを高める要因

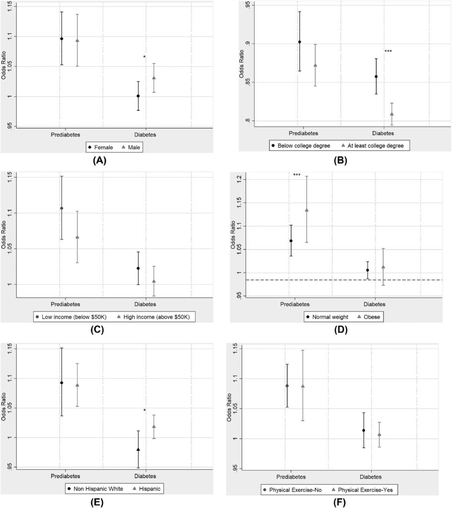
研究では、電子タバコ使用者の中でも特に肥満や過体重の人々が糖尿病予備群のリスクをより高く抱えていることが分かりました。

 

また、人種や民族によってもリスクの程度が異なり、ヒスパニック系、黒人、アジア系の人々は白人と比べてリスクが高い傾向が示されました。

 

さらに、社会的要因もリスクに影響を与えることが明らかになっています。

 

例えば、低所得層の人々は精神的ストレスを抱えることが多く、その結果として喫煙や飲酒に依存しやすくなり、糖尿病予備群や糖尿病のリスクを押し上げる可能性があります。

 

これらを踏まえ、Neupane氏は次のように説明しています。

 

収入が十分でない人々はストレスに直面し、その対処として喫煙や飲酒に頼る傾向がある。こうした社会的背景もリスクの増加に寄与しているの

 

 

研究の限界

この研究にはいくつかの限界があります。

  

まず、観察研究であるため、電子タバコが直接的に糖尿病予備群を引き起こしているかどうかを断定することはできません

 

他の要因が電子タバコ使用と糖尿病予備群の両方に影響している可能性も残されています。

  

また、調査データは自己申告による健康情報に基づいているため、必ずしも正確ではない可能性があります。

 

さらに、データが短期間に収集されたものであるため、長期的な変化を追跡することはできません。

 

こうした制約はあるものの、本研究は120万件以上のデータをもとにした大規模調査であり、現時点で得られる最良のエビデンスの一つであるといえます。

 

電子タバコは確かに従来の紙巻きタバコに比べれば有害物質の一部は少ないと考えられています。

 

しかし、「完全に安全」という認識は誤りであり、長期的な健康影響は未解明の部分が多いのが現状です。

 

今後、電子タバコの普及とともに糖尿病や心血管疾患の増加が懸念されるため、さらなる研究が求められます。

 

 

まとめ

・電子タバコ使用者は非喫煙者より糖尿病予備群のリスクが7%高い

・紙巻きタバコと電子タバコを併用する人は、最もリスクが高く、糖尿病予備群のリスクが28%増加する

・研究は観察研究であり因果関係を断定できないが、大規模データに基づく重要な警告である

コメント

タイトルとURLをコピーしました